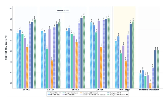
在人工智能技术日新月异的当下,腾讯再次交出了一份令人瞩目的成绩单。其自主研发的混元翻译大模型 Hunyuan-MT-7B 正式宣布开源,这一轻量级但性能强劲的翻译引擎在国际权威赛事中大放异彩,一举夺得 WMT2025 国际机器翻译大赛30项冠军,展现了中国企业在自然语言处理领域的深厚积累与领先实力。

这款参数规模为7亿的翻译模型虽定位轻量,却拥有惊人的语言覆盖能力,支持包括中文、英语、日语在内的33种主流语言,并特别兼顾了藏语、维吾尔语等5种民族语言及方言的互译需求,真正实现了多语种、多场景的无障碍沟通。更引人注目的是,其推出的集成版本 Hunyuan-MT-Chimera-7B,具备融合多模型译文结果的能力,可智能生成更精准、更流畅的最终输出,尤其适用于法律、科技、医疗等对翻译质量要求极高的专业领域。
传统机器翻译常因缺乏上下文理解而出现生硬、歧义等问题,而基于大模型架构的 Hunyuan-MT-7B 则能深入理解语境,精准处理诸如网络流行语、古诗词意境以及口语化缩写等复杂语言现象。在 ACL 旗下的 WMT2025 比赛中,该模型参与了31个语言对的角逐,最终斩获30项第一,无论是英语到德语的常规转换,还是捷克语、马拉地语等小众语种的高难度挑战,均表现卓越,甚至在参数受限的条件下力压诸多庞然大物般的竞品模型。
除了翻译质量的突破,Hunyuan-MT-7B 在工程优化方面同样表现出色。得益于腾讯自研的 AngelSlim 大模型压缩技术,该模型推理效率提升高达30%,在同等硬件环境下可承载更高并发量的翻译请求,大幅降低部署成本。这种“小而美”的设计理念,使其不仅适用于云端大规模服务,也能灵活嵌入终端设备,实现低延迟、高响应的实时翻译体验。
目前,该翻译模型已深度集成至腾讯会议、企业微信、QQ 浏览器等核心产品中,为亿万用户提供无缝的语言支持。自2023年启动开源战略以来,腾讯混元系列模型持续向开发者社区开放能力。此次 Hunyuan-MT-7B 的全面开源,不仅是技术自信的体现,更是推动全球大模型生态共建的重要一步。未来,腾讯表示将持续释放更多前沿模型与工具,携手全球开发者共同探索人工智能的无限可能。
-
体验地址:https://hunyuan.tencent.com/modelSquare/home/list(文末阅读原文直达)
Github: https://github.com/Tencent-Hunyuan/Hunyuan-MT/
-
HugginFace: https://huggingface.co/collections/tencent/hunyuan-mt-68b42f76d473f82798882597
划重点:
🌟 Hunyuan-MT-7B 模型在国际比赛中赢得30个第一名,展示翻译实力!
⚙️ 该模型支持33种语言,计算效率高,部署友好,适用于多种场景!
📥 现已开源,用户可在官网及 Github 等平台下载体验,推动技术共享!
