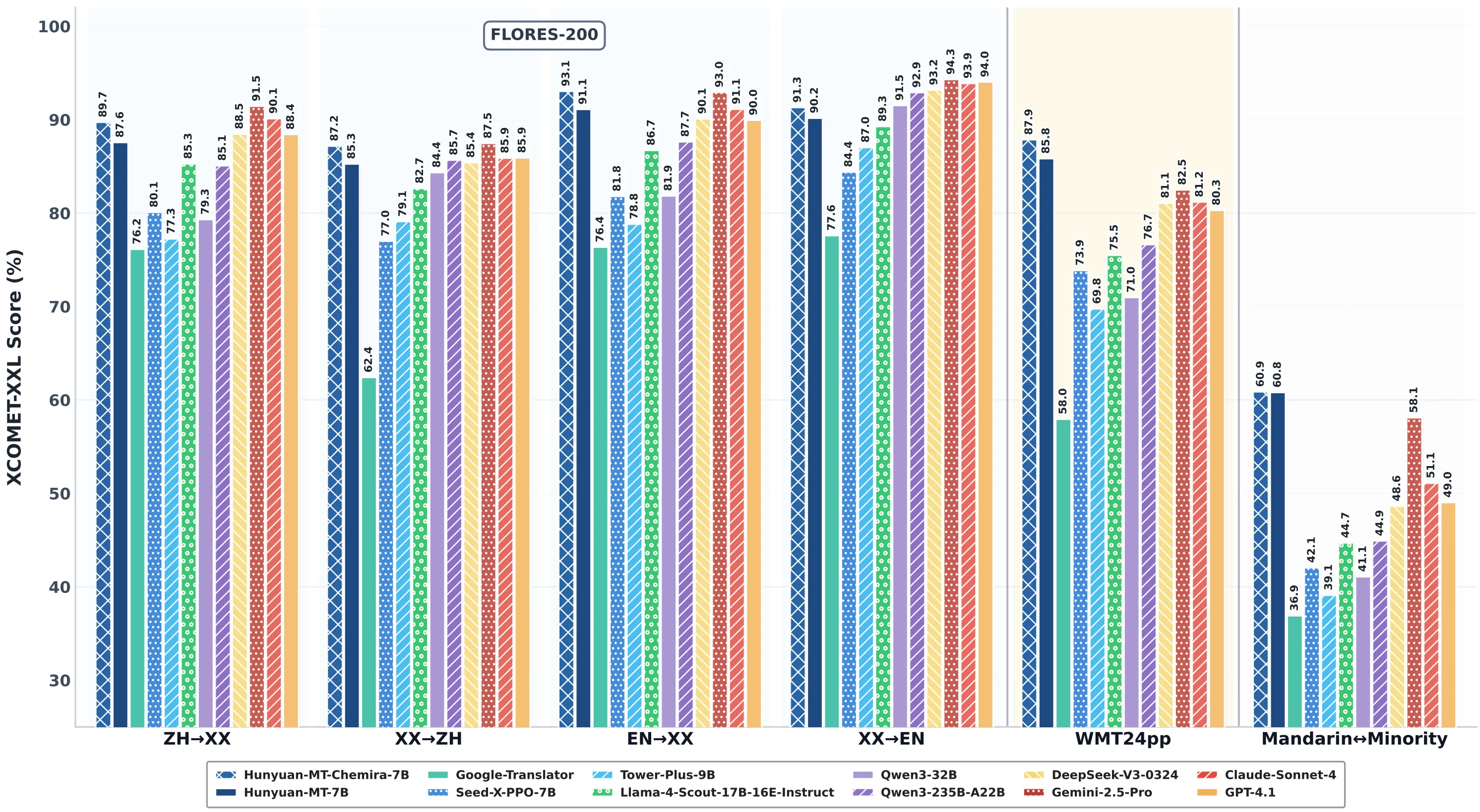
2025年9月2日,腾讯正式对外开源其自主研发的轻量级翻译大模型 Hunyuan-MT-7B,这一举动迅速在人工智能领域掀起波澜。在刚刚落幕的国际顶级机器翻译赛事——WMT2025(国际计算语言学协会机器翻译大赛)中,该模型以压倒性优势斩获31个参赛语种中的30项冠军,展现出远超同侪的技术实力。尤为引人注目的是,Hunyuan-MT-7B 仅凭借7亿参数规模便实现如此成就,不仅超越了众多参数量数倍于己的竞品,更支持33种主流语言及5种民族语言与方言的互译,真正诠释了“小而精”的技术哲学。

轻量化≠低性能,反而是高效能的代名词。长期以来,业界普遍认为翻译模型的性能与参数量成正比,动辄千亿级参数成为“高端”的标配。然而,Hunyuan-MT-7B 的出现彻底颠覆了这一逻辑。它依托腾讯自研的 AngelSlim 大模型压缩技术,在保证翻译质量的同时,将推理速度提升30%,显著降低了计算资源消耗。这意味着即便是在手机、平板等边缘设备上,也能流畅运行高质量翻译服务,为全球化应用提供了前所未有的部署灵活性。
“我们不想造一台笨重的翻译机器,而是希望打造一个真正‘懂人话’的智能助手。”腾讯混元团队技术负责人坦言。为此,团队并未盲目堆叠参数,而是聚焦于算法优化与训练策略创新,让模型在有限参数下实现更强的理解力与泛化能力。

在实际翻译表现上,Hunyuan-MT-7B 展现出惊人的语义理解深度。通过大模型预训练结合多任务微调,它能够精准捕捉文本背后的语境与情感。例如,面对英文俚语“Break a leg”,它不会机械直译为“断条腿”,而是准确输出“祝你好运”;翻译李白《静夜思》时,能保留原诗的意境与乡愁;甚至对网络流行语“yyds”也能智能识别并译为“永远的神”,而非逐字拆解。这种“会变通、懂人情”的翻译风格,赢得了大量用户的实测好评:“用它翻译会议纪要,不仅术语准确,连语气都像真人写的。”
更进一步,腾讯还推出了集成型翻译模型 Hunyuan-MT-Chimera-7B,堪称“翻译界的智囊团”。该模型支持接入 DeepSeek 等第三方翻译引擎,通过多模型协同决策,显著提升输出质量。在某跨国律所的实测中,Chimera-7B 将英文合同翻译的术语错误率从8%降至1.2%,整体效率提升40%,尤其适用于法律、医疗等高精度场景。
目前,该系列模型已深度集成至腾讯生态,服务于亿万用户:腾讯会议实现33种语言实时互译,企业微信自动生成多语言文档,QQ浏览器网页翻译准确率提升25%。数据显示,自2023年开源以来,混元系列模型已被超10万开发者采用,覆盖教育、金融、跨境电商等20多个行业。
“开源不是技术的终点,而是生态的起点。”腾讯混元团队强调,未来将持续开放更多模型与工具,降低AI使用门槛,推动构建开放、协作的翻译技术共同体。正如 WMT2025 赛事评委所言:“Hunyuan-MT-7B 的成功,为全球AI发展指明了一条高效、普惠的新路径。”
